Φασματοσκοπία Συντονισμού Επιφανειακών Πλασμονίων
Φασματοσκοπία Συντονισμού Επιφανειακών Πλασμονίων (SPR) Η φασματοσκοπία είναι μια οπτική πειραματική τεχνική που κερδίζει ευρεία αναγνώριση ως ένα πολύτιμο εργαλείο για επιφανειακές μελέτες. Υπό ορισμένες συνθήκες, μπορεί να προσφέρει σε πραγματικό χρόνο, in situ, μη καταστροφική ανάλυση δυναμικών επιφανειακών γεγονότων και έτσι είναι ικανή να προσδιορίσει τους ρυθμούς προσρόφησης και εκρόφησης για μια σειρά διεπιφανειακών διεργασιών. Η τεχνική SPR χρησιμοποιείται για in situ μελέτες προσρόφησης αυτοσυναρμολογούμενων μονοστρωμάτων (SAM), προσρόφηση πολυμερών σε μεταλλικές ή χημικά τροποποιημένες επιφάνειες και σε πολλές βιολογικές εφαρμογές όπως αλληλεπιδράσεις πρωτεϊνών, διπλοστιβάδες λιπιδίων, μηχανική ιστών, κυτταρική προσκόλληση σε επιφάνειες βιοϋλικών και σύνδεση αντιγόνου-αντισώματος.

Τα ελεύθερα ηλεκτρόνια κοντά σε ένα μεταλλικό όριο μπορούν, υπό ορισμένες συνθήκες, να εκτελέσουν συνεκτικές ταλαντώσεις που ονομάζονται επιφανειακά πλασμόνια. Αυτές οι ταλαντώσεις είναι ηλεκτρομαγνητικά επιφανειακά κύματα που διαδίδονται κατά μήκος της διεπαφής μεταξύ ενός μετάλλου και του διηλεκτρικού του περιβάλλοντος. Η συχνότητά τους ω σχετίζεται με το κυματόδιάνυσμά τους kx μέσω μιας σχέσης διασποράς:

όπου ε1 είναι η μιγαδική διηλεκτρική σταθερά του μετάλλου, ε2 η διηλεκτρική σταθερά του μέσου που περιβάλλει το μέταλλο και c η ταχύτητα του φωτός στο κενό. Τα επιφανειακά πλασμόνια μπορούν να διεγερθούν από το φως στη λεγόμενη διαμόρφωση Kretschmann χρησιμοποιώντας ένα πρίσμα επικαλυμμένο με μέταλλο. Σε αυτήν την περίπτωση, τα εξαφανιζόμενα κύματα που παράγονται από την ολική εσωτερική ανάκλαση του p-πολωμένου φωτός στην επικαλυμμένη επιφάνεια του πρίσματος συνδέονται με τα επιφανειακά φορτία και όταν η προβολή του κυματοδιανύσματος τους παράλληλα με την επιφάνεια του πρίσματος kx πληροί την παραπάνω σχέση διασποράς, τα επιφανειακά φορτία ταλαντώνονται συλλογικά με συχνότητα ω. Για ένα επιφανειακό πλασμόνιο σε μια λεπτή μεταλλική μεμβράνη, η σχέση μεταξύ συχνότητας και μήκους κύματος του κύματος δεν επηρεάζεται μόνο από τη διηλεκτρική σταθερά και το πάχος της μεταλλικής μεμβράνης, αλλά εξαρτάται επίσης έντονα από τις διηλεκτρικές σταθερές των υλικών κοντά στην επιφάνεια της μεμβράνης. Αυτά τα γεγονότα καθιστούν τη φασματοσκοπία SPR ένα πολύ ευαίσθητο εργαλείο για μελέτες επιφανειών, όπως η προσρόφηση μορίων σε μια μεταλλική επιφάνεια. Από πειραματική άποψη, η ρύθμιση της συνιστώσας kx του εξαφανιζόμενου κυματοδηγού επιτυγχάνεται με την περιστροφή του πρίσματος με μεταλλική επικάλυψη σε γωνίες πρόσπτωσης πάνω από την κρίσιμη γωνία για ολική εσωτερική ανάκλαση.Για μια συγκεκριμένη γωνία πρόσπτωσης, το kx ταιριάζει με το κυματοδιάνυσμα του επιφανειακού πλασμονίου και παρατηρείται ένα απότομο ελάχιστο στην μετρούμενη ανακλαστικότητα. Η γωνιακή μεταβολή της ανακλαστικότητας ονομάζεται «καμπύλη ανακλαστικότητας». Το πείραμα αφορά την παρακολούθηση των τροποποιήσεων (μετατόπιση και διεύρυνση) στην καμπύλη ανακλαστικότητας λόγω των αλλαγών στο διηλεκτρικό περιβάλλον του μετάλλου εάν η προσρόφηση μορίων λαμβάνει χώρα στην ελεύθερη επιφάνεια της μεταλλικής μεμβράνης.


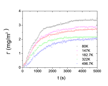
Προσροφημένες ποσότητες σε αλουμίνα πέντε διαφορετικών συμπολυμερών PS-PEO ως συνάρτηση του χρόνου για συγκέντρωση διαλύματος 0,01 mg/mL σε τολουόλιο. Κάθε καμπύλη αναφέρεται στην κινητική ενός διαφορετικού συμπολυμερούς που σημειώνεται στο ένθετο.